Files
biol125-lectures/neurotransmitters2.md
2020-12-14 10:18:11 -05:00

39 KiB
Raw Permalink Blame History

Neurotransmitters

  • More than 100 different molecules
  • Two main types
    • small molecule neurotransmitters
      • acetylcholine, amino acids, monoamines, purines
    • peptide neurotransmitters
      • polypeptides, 336 amino acids in length and often derived from longer polypeptides

Note:

We already defined what a neurotransmitter is. It is a substance that must be present inside a presynaptic neuron, its release must be dependent on calcium flux from an AP, and it must have specific receptors on the postsynaptic neuron.

Abnormalities of neurotransmitter function contributes to wide range of neurological diseases and psychiatric disorders

two types: small and big molecule neurotransmitters.


Small-molecule neurotransmitters

acetylcholine
Neuroscience 5e Fig. 6.1
purines
Neuroscience 5e Fig. 6.1
amino acids
Neuroscience 5e Fig. 6.1
biogenic amines (monoamines)
Neuroscience 5e Fig. 6.1

Note:

Not expected to know chemical formulas for any neurotransmitters

biogenic amines or monoamines

catecholamines : share a hydroxylated benzene ring
Catechol
also known as pyrocatechol or 1,2-dihydroxybenzene
is an organic compound with the molecular formula C6H4(OH)2

Peptide neurotransmitters

peptides
methionine enkephalin: an endogenous opioid peptide; Neuroscience 5e Fig. 6.1

Note:

  • also called neuropeptides

  • usually 3-30 amino acids long

  • more than 100 peptides


Neurotransmitter synthesis

  • Synthesis occurs
    • at the soma (for neuropeptides)
    • at the synaptic terminals (for small molecule transmitters)
  • Vesicle packaging requires specific transporters on vesicle membrane. There are small clear-core vesicles (ACh and amino acids) and large dense-core (neuropeptides). Biogenic amines can be in either vesicle type.

Note:

Small molecules are generated from biosynthetic enzymes

Neuropeptides are generated by translation followed by post-translational processing

Biogenic amines present in either type of vesicle

What about unconventional neurotransmitters such as ATP, NO, endocannabinoids? What type of packaging for release if any?

small clear-core vesicles
clear centers in EM
4060 nm diameter
large dense-core vesicles
electron dense centers
90250 nm diameter

--

Synaptic vesicle types

small clear-core vesicles
Neuroscience 5e Fig. 5.5
large dense-core vesicles
Neuroscience 5e Fig. 5.5

Note:

Neurons often make both a conventional small molecule neurotransmitter (such as glutamate, GABA or dopamine) together with one or more neuropeptides. Peptides are generally packaged in large dense-core vesicles, and the small molecule neurotransmitters in small synaptic vesicles.

The large dense-core vesicles are often found in all parts of a neuron, including the soma, dendrites, axonal swellings (varicosities) and nerve endings, whereas the small synaptic vesicles are mainly found in clusters at presynaptic locations.

This refers to the larger amount of material inside the dense-core vesicles, which contain not only neurotransmitters, but also proteases and other peptide chains that have been cleaved from the active neurotransmitter. Greater electron scattering in EM.

Chemical fixation
for biological specimens fixation aims to stabilize the specimen's macromolecular structure by chemical crosslinking of proteins with aldehydes such as formaldehyde and glutaraldehyde and lipids with osmium tetroxide.

Small molecule transmitters are synthesized at the presynaptic terminal

Enzymes produced in nerve cell body are transported down axon. Neurotransmitter is synthesized and packaged at synaptic terminal.

Neuroscience 5e Fig. 5.5

Note:

  • synthesis of enzymes in cell body
  • slow (0.55.0 mm/day) axonal transport of enzymes
  • synthesis and packaging of transmitter in local synaptic terminal
  • breakdown of transmitter by enzymes in extracellular space or nearby astrocytes, transport of precursors back into synaptic terminal

Peptide transmitters are synthesized in the cell body

Neuropeptides are synthesized in the nerve cell body, loaded into vesicles, and transported down the axon via microtubules.

Neuroscience 5e Fig. 5.5

Note:

  • synthesis of propeptide precursors and enzymes in cell body
  • fast axonal transport (400 mm/day) of enzymes and peptide precursors inside vesicles down microtubules (requires ATP motor proteins like kinesin)
  • proteolytic processing of propeptides by enzymes to produce peptide neurotransmitter
  • peptide neurotransmitter diffuses away, degraded by proteolytic enzymes (typically on extracellular surface)

Large dense-core vesicles release after high frequency stimulation

Neuroscience 5e Fig. 5.12

Note:

  • release of small molecule transmitters inside clear core vesicles
  • release of both types of neurotransmitter

TODO:

  • experimental evidence
  • spatial location of release

Release small clear-core vesicles release fast, large dense-core vesicles take more input energy, more stimulation. Location of vesicle types in synaptic terminal is different


Small molecule neurotransmitters

  • Acetylcholine
  • Amino acids
    • glutamate
    • aspartate
    • GABA
    • glycine
  • Monoamines
    • dopamine
    • norepinephrine
    • epinephrine
    • serotonin
    • histamine
  • Purines (ATP)

Note:


Acetylcholine

  • The neurotransmitter used at the neuromuscular junction. Also used at synapses in visceral motor system and at some CNS synapses called cholinergic neurons
  • Synthesized from acetyl CoA and choline by choline acetyl transferase (ChAT) its presence is a good indication that the neuron is cholinergic
  • Removed from synapse by acetylcholine esterase (AChE) which has high activity can cleave 5000 molecules per second
  • Sarin "nerve gas" is a AChE inhibitor

Note:

ACh: skeletal muscle excitation vs release from vagus nerve that slows down heart beat (cardiac muscle)—

  • Ligand gated channel that depolarizes skeletal muscle fibers vs g-protein coupled receptor that results in hyperpolarization of cardiomyocytes.

Typical enzyme rates may be 1000 substrates molecules per second. AChE thought to be one of the fastest enzymes in the body.

choline
a water soluable essential nutrient
quaternary ammonium salt
present in plant and animal tissues
choline is part of phophatidylcholine and sphingolipids (sphingomyelin in myelin) phospholipids on cell membranes
also acetylcholine precursor

ACh discovery and WWI history timeline


Acetylcholine synthesis

Neuroscience 5e Fig. 6.2

Note:

from krebs cycle you get Acetyl CoA. Na-Choline cotransporter exchanges Na ions for choline.

choline acetyltransferase...

VAChT packs ACh into vesicles using the acidic vesicle's proton gradient. The gradient is established through active transport by the standard vacuolar H+-ATPase (V-ATPase), a highly conserved enzyme to convert ATP hydrolysis energy to proton transport across membranes.

--

AChE Inhibition

  • Sarin and Soman: toxic AChE inhibitors. Also known as “nerve gases” for use in chemical warfare
  • Designed to dispersed as a vapor cloud or spray, which allows their entry into the body through skin contact or inhalation. Drug quickly penetrates into bloodstream and is distributed to all organs, including the brain
  • Symptoms: profuse sweating and salivating, uncontrollable vomiting, gasping for breath, convulsing, and gruesome death. These are due to rapid accumulation of ACh and overstimulation of cholinergic synapses throughout the CNS and PNS. Death occurs through asphyxiation due to paralysis of the muscles of the diaphragm
Psychopharmacology Chp. 6, 2006 Sinauer

Note:

parasympathetic (Ach) vs sympathetic (norep)

organophosphate functional group
phosphate esters
O=P(OR)3
diverse range of natural biomolecular forms (dna, rna, atp)
many synthetic agents. insecticides, herbicides, flame retardants, plasticizers. And nerve agents (like the insecticides) for chemical warfare

Larsen, Ashley; Gaines, Steven (2017-08-29). "Agricultural pesticide use and adverse birth outcomes in the San Joaquin Valley of California". Nature Communications. 8 (1): 302. doi:10.1038/s41467-017-00349-2. ISSN 2041-1723. PMC 5575123. PMID 28851866.

--

Acetylcholine synthesis video summary

Neuroscience 5e Animation 6.1

Note:


Small molecule neurotransmitters

  • Acetylcholine
  • Amino acids
    • glutamate
    • aspartate
    • GABA
    • glycine
  • Monoamines
    • dopamine
    • norepinephrine
    • epinephrine
    • serotonin
    • histamine
  • Purines (ATP)

Note:


Glutamate

  • Most abundant neurotransmitter
  • Nearly all excitatory neurons in the CNS are glutamatergic
  • Does not cross the blood brain barrier
  • Glutamine is most common precursor, glutaminase converts it to glutamate
  • Retrieved from synapse by glutamate transporters in glia and neurons. Astrocytes turn glutamate to glutamine and spit it back out
  • Too much glutamate can kill the post-synaptic neuron (excitotoxicity). A major problem after damage due to stroke

Note:

Most common neurotransmitter for normal brain function. Almost all excitatory neurons in CNS are glutamatergic. Half of all synapses estimated to use this transmitter.

Glutamate (glutamic acid) is non-essential a.a. (meaning non-essential per dietary requirements) that does not cross the blood brain barrier. Synthesized inside neurons by local precursors.

Essential amino acids are: histidine, isoleucine, leucine, lysine, methionine, phenylalanine, threonine, tryptophan, and valine

Monosodium glutamate (MSG, also known as sodium glutamate) is the sodium salt of glutamic acid


Glutamate synthesis

  • synthesized from glutamine by glutaminase
  • packaged into vesicles by vesicular glutamate transporters (VGLUT) using proton gradient setup by V-ATPase
  • removed from cleft by excitatory amino acid transporter EAAT
  • converted into glutamine by glutamine synthetase in the glial cell
  • tranported back to neuron via system N transporter 1 (SN1) and system A transporter 2 (SAT2)
Neuroscience 5e Fig. 6.5

Note:

Metabolized into glutamate by mitochondrial enzyme glutaminase. Also glucose metabolism from Krebs cycle can also produce glutamate.

Packaged into vesicles by vesicular glutamate transporters (VGLUT). 3 different VGLUTs identified.

Removed from cleft by excitatory a.a. transporters (EAATs). These are family of 5 Na⁺ dependent glutamate cotransporters. Some in glial cells, some in presynaptic terminals.

Glutamate in glial cells by EAAT converted into glutamine by enzyme glutamine synthetase.

Glutamine then transported out by different transporter system N transporter 1 (SN1) then back into nerve cells by system A transporter 2 (SAT2).

--

Glutamate synthesis video summary

Neuroscience 5e Animation 6.2

Note:

ACh role in Alzheimers: basal forebrain innervation to neocortex vs hippocampus. Cholinergic neuron degradation vs local postsynaptic neuron effects…


GABA and glycine

  • Inhibitory neurons primarily use GABA or glycine
  • Activation of GABA or glycine receptors typically reduces probability of firing action potentials
  • GABA (gamma-aminobutyric acid) made from glutamate by glutamic acid decarboxylase (GAD)
    • GAD requires Vitamin B6 as cofactor
  • Glycine about 1/2 of neurons in spinal cord use glycine
  • Hyperglycinemia defect in glycine uptake and removal leading to severe mental retardation

Note:

As many as a third of synapses in the brain use GABA as an inhibitory transmitter. Most commonly found in local circuit neurons.

glycine encephalopathy:

from http://ghr.nlm.nih.gov/condition/glycine-encephalopathy:

Glycine encephalopathy, which is also known as nonketotic hyperglycinemia or NKH, is a genetic disorder characterized by abnormally high levels of a molecule called glycine. This molecule is an amino acid, which is a building block of proteins. Glycine also acts as a neurotransmitter, which is a chemical messenger that transmits signals in the brain. Glycine encephalopathy is caused by the shortage of an enzyme that normally breaks down glycine in the body. A lack of this enzyme allows excess glycine to build up in tissues and organs, particularly the brain, leading to serious medical problems.

--

Glycine

  • Inhibitory neurotransmitter
  • Makes the post-synaptic membrane more permeable to Cl⁻. Can result in hyperpolarization of the post-synaptic cell
  • Glycine receptor is primarily found in the ventral spinal cord
  • Strychnine
    • glycine receptor antagonist which can bind to the receptor without opening the Cl⁻ channel (i.e. it inhibits inhibition)
    • spinal hyperexcitability
*Strychnos nux-vomica*

Note:

Strychnine
highly toxic, colorless, bitter crystalline alkaloid
from Strychnos nux-vomica native to India, Sri Lanka, and Indonesia

GABA synthesis

  • synthesized from glutamate by glutamic acid decarboxylase (GAD)
  • transported into vesicles by vesicular inhibitory amino acid transporter (VIAAT), using proton gradient setup by V-ATPase.
  • Removal by neurons and glia by Na⁺ dependent cotransporters for GABA called GATs
Neuroscience 5e Fig. 6.8

Note:

synthesized from glutamate by glutamic acid decarboxylase (GAD)

transported into vesicles by vesicular inhibitory amino acid transporter (VIAAT), using proton gradient setup by V-ATPase.

Removal by neurons and glia by Na⁺ dependent cotransporters for GABA called GATs

--

Glycine synthesis

Neuroscience 5e Fig. 6.8

Note:

Synthesized from glucose by serine hydroxy-methlytransferase (GAD)

Transported into vesicles by vesicular inhibitory amino acid transporter (VIAAT), using proton gradient setup by V-ATPase.

Removal by neurons and glia by Na⁺ dependent glycin cotransporters GATs

Taurine and beta-alanine (other amino acids) can act as agonists for glycine receptors and also gaba receptors to some degree [Mori:2002]

[Mori:2002]: Mori M., Gahwiler B. H. and Gerber U. (2002) Beta-alanine and taurine as endogenous agonists at glycine receptors in rat hippocampus in vitro. J. Physiol. 539, 191200


Small molecule neurotransmitters

  • Acetylcholine
  • Amino acids
    • glutamate
    • aspartate
    • GABA
    • glycine
  • Monoamines
    • dopamine
    • norepinephrine
    • epinephrine
    • serotonin
    • histamine
  • Purines (ATP)

Note:


Monoamine neurotransmitters (biogenic amines)

  • Catecholamines dopamine, norepinephrine, and epinephrine
    • All derived from tyrosine. Tyrosine hydroxylase is the rate limiting step and is a good histological marker for catecholaminergic neurons
  • Histamine
  • Serotonin
  • Are implicated in many complex behaviors

Note:

Monoamines (a subset of biogenic amines. Biogenic amines are monoamines + trace amines like like tryptamine, phenethylamine, melatonin) regulate many functions in the CNS and PNS. Ranging from homeostatic functions to cognition and attention.

  • All come from same synthesis pathway
  • defects in function implicated in many psychiatric disorders
  • targets of many drugs of abuse

Amines are organic compounds and functional groups that contain a basic nitrogen atom with a lone pair. Amines are derivatives of ammonia, wherein one or more hydrogen atoms have been replaced by a substituent such as an alkyl or aryl group.

  • reserpine used as antipsychotic, depletes Norep at synaptic terminals by blocking vesicle loading
  • organic structure template: R—NH2

--

Catecholamine synthesis

Neuroscience 5e Fig. 6.10

Note:


Dopamine

  • Produced by the enzyme DOPA decarboxylase
  • Made by substantia nigra pars compacta (which connects to corpus striatum for coordination of body movements)
  • Does not cross the blood brain barrier, but levadopa (L-DOPA) does
  • Parkinsons treatments include L-DOPA plus degradation enzyme inhibitors
  • Cocaine works by inhibiting the dopamine cotransporter DAT

Note:

Synthesized in cytoplasm of presynaptic terminals.

Loaded into synaptic vesicles by vesicular monoamine transporter (VMAT). Dopamine in synaptic cleft is terminated by reuptake of dopamine into nerve terminals or glia cells by a Na-dependent dopamine cotransporter called DAT. Cocaine works by inhibiting DAT, increasing dopamine concentrations in synaptic cleft.

Amphetamine also inhibits DAT as well as a transporter for norepinephrine

  • Catabolized by monoamine oxidase and catechol O-methyltransferase (COMT). Both neurons and glia contain mitochondrial MAO and cytoplasmic COMT. Inhibitors of these enzymes are targets of some kinds of antidepressants (phenelzine and tranylcypromine)
  • Acts throught GPCRs. D3 parallels that of other metabotropic receptors like mAChR. Subtypes act by activating or inhibiting adenylyl cyclase.
  • Activation leads to complex behaviors. Antagonists can cause catalepsy (state where difficult to initiate voluntary movement).
  • L-DOPA is the precursor to the neurotransmitters dopamine, norepinephrine (noradrenaline), and epinephrine (adrenaline) collectively known as catecholamines.
  • it is converted into dopamine by the enzyme aromatic L-amino acid decarboxylase, also known as DOPA decarboxylase.

Parkinson's treatment: LDOPA + enzyme inhibitors info
blood brain barrier info

Encephalitis lethargica, sleeping sickness, 40 yrs later Oliver Sacks in NYC treats them with L-DOPA

  • neostriatum
  • Part of
    • Basal ganglia
    • Reward system
  • Components
    • Ventral striatum
    • Dorsal striatum

The corpus striatum, a macrostructure which contains the striatum, is composed of the entire striatum and the globus pallidus. The lenticular nucleus refers to the putamen together with the globus pallidus.


Projections from dopaminergic neurons in the human brainstem

Neuroscience 5e Fig. 6.11

Note:

--

Dopamine synthesis video summary

Neuroscience 5e Animation 6.3

Note:


Norepinephrine

  • also called noradrenaline
  • Comes from dopamine by way of dopamine-β-hydroxylase
  • Sympathetic ganglion cells use it project to visceral motor system (fight or flight response)
  • Used as a transmitter from locus coeruleus in brainstem (rostral pons) projects to areas that are involved in sleep, attention, and feeding
  • Its reuptake mechanism, the norepinephrine transporter (NET), is a target of amphetamines

Note:

VMAT for loading into vesicles

Norep transporter (NET) is a Na⁺ depedent cotranporter. NET is a target of amphetamines.

alpha and beta adrengergic receptors. GPCRs. Some alphas lead to slow depolarization. Some lead to slow hyperpolarization (acting on different K⁺ channels).

norepinephrine also released into blood by adrenal medulla of adrenal gland

locus coeruleus
input hypothalamus, cingulate cortex, amygdala, cerebellum, raphe nuclei
output everywhere, spinal cord, brainstem, cerebellum, hypothalamus, thalamus, amygdala, cerebral cortex
activation mediates an excitatory effect, giving rise to arousal/wakefulness

Projections from noradrenergic neurons in the human brainstem

Neuroscience 5e Fig. 6.11

Note:

--

Norepinephrine synthesis video summary

Neuroscience 5e Animation 6.4

Note:

  • Epinephrine/Adrenaline present at lower levels than the others
  • Epinephrine made by neurons in rostral medulla. Project to thalamus and hypothalamus

Epinephrine

  • Adrenaline present at lower levels than the others
  • Made by neurons in rostral medulla. Project to thalamus and hypothalamus

--

Projections from adrenergic neurons in the human brainstem

Neuroscience 5e Fig. 6.11

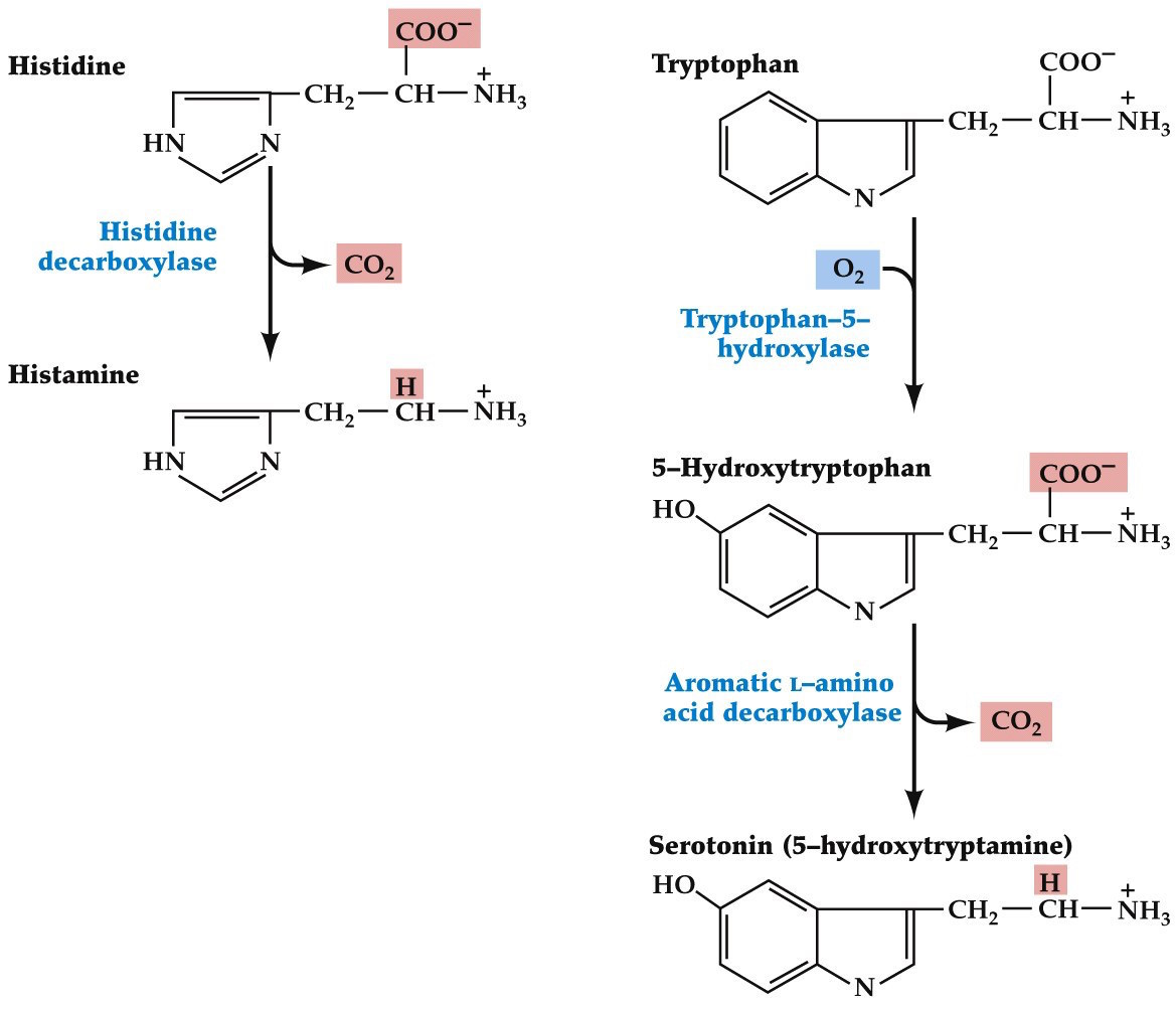
Serotonin

  • 5-hydroxytryptamine (5-HT)
  • Made from tryptophan
  • Reuptake by specific serotonin transporters
  • Many antidepressants act by inhibiting serotonin reuptake (selective serotonin reuptake inhibitors-SSRIs; e.g. Prozac, Zoloft)
  • Found primarily in groups of neurons in the raphe region of the pons and upper brainstem
  • The raphe nucleus projects widespread in forebrain areas that are implicated in sleep and wakefulness and mood

Note:

  • dorsal raphe and median raphe nuclei. In brain stem. raphe nuclei just ventral to the 4th ventricle stretching from medulla
  • vesiclular monoamine transporter VMAT loads this (as well as other monoamines) into synaptic vesicles.

turkey/tryptophan—> sleep? Yes— but not really (http://www.snopes.com/food/ingredient/turkey.asp), youd have to eat a lot more (maybe 3x more) than at a particular meal. And furthermore, lots of protein sources include amounts of tryptophan similar to or greater than that of turkey per gram of food content (including eggs, fish, cheese, and some nuts, seeds, legumes). Tryptophan is present in all proteins, but is also

And besides well timed carbohydrate ingestion with/after tryptophan consumption is important for increasing tryptophan transport from blood vessels and into brain tissue:

http://www.webmd.com/food-recipes/the-truth-about-tryptophan?page=2:

The small, all-carbohydrate snack is tryptophan's ticket across the blood-brain barrier, where it can boost serotonin levels.

Tryptophan competes with other large aromatic neutrally charged amino acids for passage into brain from blood vessels. But tryptophan is the only amino acid known to bind non-covalently with serum albumin (https://www.ncbi.nlm.nih.gov/pmc/articles/PMC1133271/?page=1) (Curzon, 1973; Smith and Pogson, 1980). This is thought to protect it from insulin induced cellular metabolism (insulin rising after eating carbohydrates of course) by bringing tryptophan to high enough concentrations in blood to favor entry into brain. Indicates that the timing of carbohydrate ingestion may be helpful.

Study looking at food/protein composition type and quantitative mesaures of cerebral serotonin levels after consumption (5-HT levels can change 8-fold in rat): https://doi.org/10.1016/j.physbeh.2009.05.004


Histamine

  • Made from histidine, a metabolite of monoamine oxidase
  • Released by neurons in hypothalamus (tuberomammilary nucleus) that send projections to all parts of the brain and spinal cord
  • Mediates arousal and attention
  • Histamine receptors are in the immune system and in the CNS. Sedative effects of diphenhydramine (Benadryl) act through the CNS

Note:

  • synthesized from histidine by

  • H1 receptors (antagonists used for treating motion sickness because role in vestibular function)

  • H2 receptors control secretion of gastric acid in digestive system

transported into vesicle by VMAT as catecholamines

diphenhydramine
benadryl
inhibits H1 receptors
also has some serotonin reuptake inhibitor capability
also has some anticholinergic (muscarinic) capability

Projections from serotonergic and histaminergic neurons

These projections are sparse (low synapse density) but widespread (most brain regions).

histaminergic axons from tuberomamillary nucleus of hypothalamus, serotonergic axons from dorsal raphe nucleus of brain stem
Neuroscience 6e Fig. 6.17, 5e Fig. 6.13

--

Synthesis of histamine and serotonin

Neuroscience 5e Fig. 6.14

Note:


Peptide neurotransmitters

  • 3-36 or so amino acids, cleaved from larger precursor proteins
  • Catabolized by peptidases
  • 5 general classes, brain/gut peptides, opioid peptides, pituitary peptides, hypothalamic releasing hormones, all others
  • Packaged into large dense-core vesicles
  • Generally used as co-transmitters

Note:

  • Many peptides known to be hormones also act as neurotransmitters
  • melanocyte-stimulating hormone, adrenocorticotropin, Beta-endorphin regulate complex responses to stress
  • substance P and opioid peptides involved in the perception of pain

--

Amino acid sequences of peptide neurotransmitters

Neuroscience 5e fig. 6.17

Note:


Synthesis of neuropeptides

  • Neuropeptides are synthesized as pre-propeptides in the nerve cell bodies
  • This includes a signal sequence that targets the peptides to the inside of the endoplasmic reticulum
  • The signal sequence is cleaved to form the propeptide

Note:

--

Synthesis of neuropeptides

Neuroscience 5e Fig. 6.16

Note:

Proteolytic processing of the pre-propeptides, pre-proopiomelanocortin and pre-proenkaphalin

Processing the polypeptides that make the final neuropeptdies happens in an neurons cell body. Propeptide packaged into vesicles in golgi network. Final peptide processing occurs after packaging into vesicles. Multiple neuroactive peptides can be released from a single vesicle.

proopiomelanocortin
precursor for melanocyte-stimulating hormone, adrenocorticotropin, beta-endorphin
regulate complex responses to stress and modulation of pain
beta-endorphin binds to mu-opioid receptors
ACTH
adrenocorticotropic hormone
corticotropin
secreted by anterior pituitary gland
produced in response to stress
increases production of cortisol in adrenal glands

Examples of peptide transmitters Opioids

  • Bind to same post-synaptic receptors as opium
  • Family with more than 20 members, three basic groups: endorphins, enkephalins, and dynorphins
  • Often co-localized with GABA and serotonin
  • Tend to act as depressants, used for analgesics
  • Repeated use often leads to tolerance and addiction

Note:

Opioids are named because they bind to same postsynaptic receptors as opium.

  • opium poppy cultivated for 5000 yrs
  • opium contains a variety of plant alkaloids, predominantly morphine. Morpheus, greek god of dreams. Very effective analgesic. Fentanyl, synthetic opiate with 80 times analgesic potency of morphine

Opioid peptides distributed throughout the brain. Colocalize with GABA and 5-HT. Tend to be depressants. They act like analgesics when injected intracerebrally. Initiate effects through GPCRs. Activate at low concentrations (nM to uM). mu, delta, kappa opioid receptor subtypes play role in reward and addiction. mu-receptor is primary site for opiate drugs.

TODO: opiate drug info

Naloxone is a non-selective and competitive opioid receptor antagonist.

--

Examples of peptide transmitters Substance P

  • Substance P 16 amino acid peptide
  • Present in human hippocampus, neocortex, and GI tract (hence a brain-gut peptide)
  • Involved in the perception of pain
  • Released from C-fibers which carry information about pain and temperature

Note:

accidental discovery of substance P. Ominous sounding compound from Area 51? No. It was an unidentified component of powder extracts from brain and intestine. High conc. in hippocampus, neocortex, and GI tract. A brain/gut peptide. Release of Subst P in cfibers can be inhibited by spinal interneurons releasing opioid peptides.


Unconventional neurotransmitters cannabinoids

  • Cannabinoids
    • Endocannabinoids
      • anandamide
      • 2-arachidonylglycerol (2-AG)
    • Δ9-tetrahydrocannabinol (THC)
      • main psychoactive compound in cannabis sativa/indica
  • Bind to G-protein coupled receptors (GPCRs): CB1 & CB2
  • CB1 enriched in substantia nigra, caudate putamen, neocortex, hippocampus, cerebellum
Anandamide
2-AG
THC

Note:

Unconventional neurotransmitters. Released from neurons, regulated by Ca²⁺, and have specific receptors, but not released from synapses by exocytotic vesicle mechanisms. Often unconventional NTs are associated with retrograde signaling from post to pre.

These endocannabinoids are actually unsaturated fatty acids from enzymatic digestion of membrane lipids. Production stimulated by second messengers within postsynaptic neuron, typically a rise in postsynaptic Ca²⁺ concentration.

Ohno-Shosaku Neuron 2001: endocannabinoids act on cannabinoid receptors (CB1) to reduce GABA release from presynaptic inhibitory neurons. Inhibiting inhibition (disinhibition).

-anandamide -2-arachidonylglycerol (2-AG)

Anandamide
N-arachidonoylethanolamine
essential fatty acid neurotransmitter
derived from non-oxidative metabolism of eicosatetraenoic acid (arachidonic acid, an essential ω-6 polyunsaturated fatty acid)
effects can occur in either CNS or PNS
effects by CB1 cannabinoid receptors in the CNS and CB2 cannabinoid receptors in the PNS [#Pacher:2006]
CB2 receptors involved in regulating immune system function
found in chocolate [#Tomaso:1996]
endocannabinoids, long chain fatty acids like anandamide found in drosophila melanogaster [#Jeffries:2014] but cannabinoid receptors are not [#McPartland:2001]

[#Pacher:2006]: Pacher, P., Bátkai, S., and Kunos, G. (2006). The endocannabinoid system as an emerging target of pharmacotherapy, Pharmacol Rev, 58(3), 389-462

[#Tomaso:1996]: di Tomaso, E., Beltramo, M., and Piomelli, D. (1996). Brain cannabinoids in chocolate, Nature, 382(6593), 677-8

[#Jeffries:2014]: Jeffries, K. A., Dempsey, D. R., Behari, A. L., Anderson, R. L., and Merkler, D. J. (2014). Drosophila melanogaster as a model system to study long-chain fatty acid amide metabolism, FEBS Lett, 588(9), 1596-602

[#McPartland:2001]: McPartland, J., Di Marzo, V., De Petrocellis, L., Mercer, A., and Glass, M. (2001). Cannabinoid receptors are absent in insects, J Comp Neurol, 436(4), 423-9

Mechanism of release not clear, but likely that these hydrophobic signals diffuse through the postsynaptic membrane to reach cannabinoid receptors on nearby cells. Action terminated by carrier mediated transport into postsynaptic neuron and hydrolyzed by enzyme fatty acid amide hydrolase (FAAH).

Psychotropic
psychoactive
chemical substance that changes brain function resulting in altered perception, mood, or conciousness
  • cannabis sativa | cannabis indica
    • used for hemp (fiber, oil, seed)
    • phytocannabinoids (85 active identified in cannabis)

THC:

  • agonist of both CB1 and CB2
  • mild to moderate analgesic effects (dorsal root ganglion and PAG), antiemetic (anti-nausea)
  • tolerance appears to be irregular throughout mouse brain areas
  • possesses mild antioxidant activity
  • Bioavailability 1035% (inhalation), 620% (oral)[3]
  • Protein binding 9799%[3][4][5]
  • Metabolism Mostly hepatic by CYP2C[3]
  • Biological half-life 1.659 h,[3] 2536 h (orally administered dronabinol)
  • Excretion 6580% (feces), 2035% (urine) as acid metabolites[3]

cannabidiol: a major phytocannabinoid, accounting for up to 40% of the plant's extract. More complex effects than THC, may potentiate effects through CB1 density increases, inhibition of FAAH. Allosteric modulator of mu-opioid receptors. Less understood.

cannabinol: higher affinity for CB2 (but weaker than THC). Breakdown product of THC

-rimonabant, synthetic drug

GPCRs:

CB1 enriched in substantia nigra, caudate putamen, neocortex, hippocampus, cerebellum

CB2 expressed in cells throughout the immune system. T cells, macrophages, B cells, peripheral nerve terminals (relief of pain), microglial cells

major CB2 targets are: >immune and immune-derived cells (e.g. leukocytes, various populations of T and B lymphocytes, monocytes/macrophages, dendritic cells, mast cells, microglia in the brain, Kupffer cells in the liver, etc.

multiple intracellular signal transduction pathways are activated. At first, it was thought that cannabinoid receptors mainly inhibited the enzyme adenylate cyclase (and thereby the production of the second messenger molecule cyclic AMP), and positively influenced inwardly rectifying potassium channels (=Kir or IRK).[25] However, a much more complex picture has appeared in different cell types, implicating other potassium ion channels, calcium channels, protein kinase A and C, Raf-1, ERK, JNK, p38, c-fos, c-jun and many more.[#Demuth:2006]

inhibits inhibition on presynaptic GABAergic neurons. Inhibits IPSCs. disinhibitory effect.

[#Demuth:2006]: Demuth DG, Molleman A (2006). "Cannabinoid signalling". Life Sci. 78 (6): 54963. doi:10.1016/j.lfs.2005.05.055. PMID 16109430.

Other cannabinoid-like compounds found in other plants (e.g. Echinacea). Some like b-caryophyllene (volatile plant terpene) are quite common among plants (incl cannabis sativa) and act as agonist (nM concentrations) of CB2 [#Gertsch:2010]. Most of these that have been found so far have affinities for CB2. Mostly just THC with non-selective affinity for CB1 (and CB2 modulation) at nM concentrations so far. But Falcarinol also has non-selective CB1 affinity (at µM concentrations) [#Gertsch:2010], and is widespread in Apiaceae (celery, carrot, parsley family) like Daucus carota also in red ginseng Panax ginseng) though it might work as an inverse agonist.

[#Gertsch:2010]: Gertsch, J., Pertwee, R. G., and Di Marzo, V. (2010). Phytocannabinoids beyond the Cannabis plant - do they exist?, Br J Pharmacol, 160(3), 523-9

Apiaceae
angelica, anise, arracacha, asafoetida, caraway, carrot, celery, Centella asiatica, chervil, cicely, coriander (cilantro), culantro, cumin, dill, fennel, hemlock, lovage, cow parsley, parsley, parsnip, cow parsnip, sea holly, giant hogweed and silphium
Daucus carota
wild carrot
'Queen Anne's lace'
domesticated carrots are cultivars of a subspecies

--

CB1 receptors are expressed widely throughout the forebrain

CB1 expression in rodent
Neuroscience 5e Box 6. M. Herkenham, NIMH

Note:

TODO:

  • human expression evidence
  • human rodent brain comparison

Summary

Neuroscience 5e Table 6.1